4595: P1226 【模板】快速幂
Memory Limit:128 MB
Time Limit:1.000 S
Judge Style:Text Compare
Creator:
Submit:5
Solved:3
Description

Input

Output

Sample Input Copy
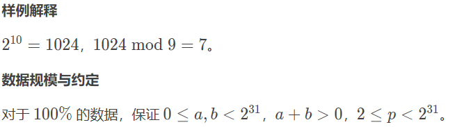
2 10 9
Sample Output Copy
2^10 mod 9=7
HINT
