3227: 习题5-13 迭代法求平方根

Memory Limit:12 MB Time Limit:1.000 S
Judge Style:Text Compare Creator:
Submit:4 Solved:6

Description

输入一个非负实数a,用迭代法求平方根

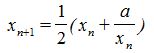
求平方根的迭代公式为

要求前后两次求出的x的差的绝对值小于10-5

从键盘输入非负实数a和迭代初值x0,输出满足条件的xn+1

C数学库中有求绝对值的函数fabs.

Input

非负实数a和迭代初值x0(要求double类型)

Output

输入非负实数的平方根,保留6位小数,末尾换行。

Sample Input Copy

10 3

Sample Output Copy

3.162278