1096: 二级 调用数学库函数

Memory Limit:128 MB Time Limit:1.000 S
Judge Style:Text Compare Creator:
Submit:19 Solved:17

Description

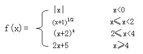
输入x ,计算并输出下列分段函数 f(x) 的值。可以调用数学库函数:平方根函数sqrt(),绝对值函数fabs() 和幂函数 pow()

 保留2位小数

Input

x

Output

f(x)

Sample Input Copy

5

Sample Output Copy

15.00